
中科普瑞助力山东大学齐鲁医院使用Sino circRNA芯片发表题为“Circulating exosomal hsa_circRNA_0039480 is highly expressed in gestational diabetes mellitus and may be served as a biomarker for early diagnosis of GDM”的文章,于2022年1月3日发表在《Journal of Translational Medicine》 (IF=4.965) 上。
妊娠期糖尿病 (GDM) 是孕妇常见的代谢性疾病之一,其特点是妊娠期血糖升高,产后缓解。GDM已经对全世界的孕产妇和胎儿的健康构成了威胁。然而,目前对诊断后GDM的治疗效果有限。在本研究中,作者试图探索外泌体环状RNA (circRNA) 在早期GDM诊断中的潜力,并首次确定来自血浆的外泌体hsa_circRNA_0039480是一个有希望的早期GDM诊断的生物标志物。
研究方法
◆ 研究人员通过微阵列分析,比较3例GDM患者分娩前48小时和分娩后48小时的血浆外泌体circRNA表达谱;并通过RT-PCR分析,随机验证circRNA表达的可重复性;再采用Pearson相关分析,评估circRNA与OGTT水平之间的相关性;还建立了ROC曲线,评估circRNA对不同阶段GDM的诊断价值。
◆ GDM孕妇分娩前48h和分娩后48h血浆外泌体中circRNA的表达
GDM的女性在分娩前与分娩后相比,有152个重叠的circRNA差异表达,其中92个表达上调,60个表达下调 (原文图2B)。然后从中筛选出17个具有最高倍数变化和最小p值的差异表达的circRNA,并对其进行了RT-qPCR分析验证。原文图2C显示,除hsa_circ_0025494和hsa_circ_0006138外,大多数circRNA的表达与微阵列分析一致。此外,还通过来自妊娠晚期队列的血浆外泌体样本对7个circRNA的表达进行了随机验证。结果表明,hsa_circRNA_0039480 (原文图 2D) 和 hsa_circRNA_0026497 (原文图2E) 在GDM患者分娩前的表达持续并且显著高于分娩后 (P<0.05),而其余的则没有达到预期。这些结果揭示了GDM患者在分娩前后外泌体circRNA的表达模式明显不同。

差异化表达的外泌体circRNA的分析
◆ hsa_circRNA_0039480和hsa_circRNA_0026497在GDM/NGT孕妇分娩前后血浆外泌体中的表达
hsa_circRNA_0039480和hsa_circRNA_0026497在NGT孕妇分娩前与分娩后的表达无差异 (P>0.05,原文图3A和3B)。与NGT组比,GDM组hsa_circRNA_0039480的表达在分娩前显著高于NGT组 (P<0.05,原文图3C和3D),而在分娩后48h GDM组与NGT组间无显著差异 (P>0.05)。hsa_circRNA_0026497在妊娠晚期队列中的表达结果与hsa_circRNA_0039480一致 (原文图3E和3F)。但是,相关性分析未能显示出hsa_circRNA_0039480和hsa_circRNA_0026497在分娩前的表达有很强的相关性 (r=0.275,P=0.086,图3G)。

GDM/NGT孕妇分娩前后血浆外泌体中hsa_circRNA_0039480和hsa_circRNA_0026497的表达
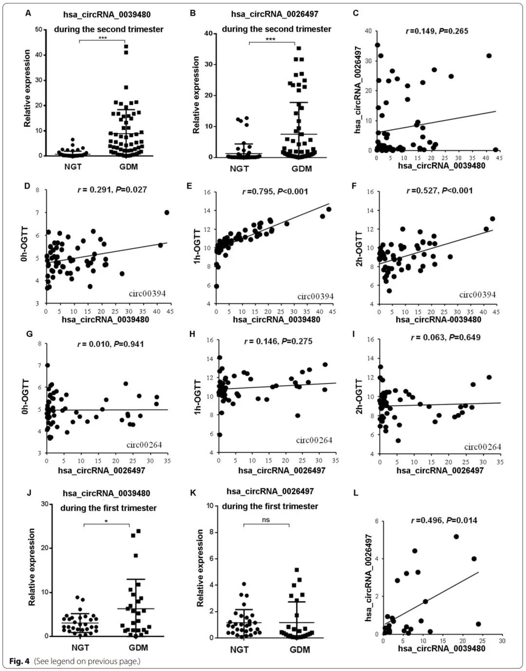
◆ 妊娠早期和妊娠中期GDM/NGT的孕妇血浆外泌体中hsa_circRNA_0039480和hsa_circRNA_0026497的表达及其与妊娠中期OGTT结果的相关性
在妊娠中期,GDM组hsa_circRNA_0039480和hsa_circRNA_0026497的表达相对于NGT组显著上调 (P<0.05) (原文图4A和4B)。如原文图4D-I所示,hsa_circRNA_0039480的表达与0 h、1 h、2 h-OGTT的水平之间呈强正相关 (均为P<0.05),而hsa_circRNA_0026497则无这些显著相关性。在妊娠早期,GDM组hsa_circRNA_0039480的表达较NGT组显著升高 (P< 0.05),而hsa_circRNA_0026497则无这种明显差异 (P>0.05) (原文图4J和4K)。Pearson 相关分析显示,在妊娠中期,GDM队列血浆外泌体中hsa_circRNA_0039480和hsa_circRNA_0026497的表达水平之间的相关性较弱 (r=0.149,P=0.265) (原文图4C),而在妊娠早期二者之间却存在正相关关系 (r= 0.496,P=0.014) (原文图4L)。因此,hsa_circRNA_0039480 在妊娠早期和中期的GDM患者中高表达,并且其表达与OGTT葡萄糖的水平显著相关。

GDM/NGT孕妇血浆外泌体中hsa_circRNA_0039480和hsa_circRNA_0026497在妊娠早期、中期的表达及其与OGTT葡萄糖水平的相关性
◆ 血浆外泌体中hsa_circRNA_0039480和hsa_circRNA_0026497的表达对不同妊娠阶段GDM的诊断作用
为了评估hsa_circRNA_0039480和hsa_circRNA_0026497对GDM的诊断效果,建立了hsa_circRNA_0039480、hsa_circRNA_0026497及其组合的ROC模型。结果显示,hsa_circRNA_0039480在妊娠早期的表达对GDM具有一定的诊断价值 (AUC=0.704,敏感性=0.542,特异性=0.930,P=0.005),而hsa_circRNA_0026497的表达未得到较好的诊断结果 (AUC=0.641,敏感性=0.458,P=0.081)。值得注意的是,hsa_circRNA_0039480和hsa_circRNA_0026497的组合在妊娠早期显示出对GDM有希望的诊断价值 (AUC=0.754,敏感性=0.875,特异性=0.535,P<0.001) (原文图5C)。

hsa_circRNA_0039480和hsa_circRNA_0026497对妊娠早期、中期、晚期GDM的诊断价值
结论
总之,血浆来源的外泌体hsa_circRNA_0039480在不同的妊娠阶段均高度表达。hsa_circRNA_0039480对区分GDM和NGT具有很高的预测价值,可作为妊娠早期GDM的有希望的诊断生物标志物。
原文链接:
https://link.springer.com/article/10.1186/s12967-021-03195-5
专注组学 精准定位 用心服务 帮您实现科研价值
——