
单细胞RNA测序技术现状:
价格昂贵、研究效率低
RNA测序技术发展的本质是分辨率的逐步提升。10年前,科学家进行转录组研究只能通过分离各种细胞群的RNA,利用逆转录酶和标准DNA测序技术来分析每个细胞群的平均转录组。如今,随着测序技术的不断进步,RNA测序已经达到了单细胞水平。借助多种技术分离、标记单个细胞,单细胞RNA测序可以生成每个细胞的转录组图谱,能够在以往被认为同质的细胞群中,发现细胞与细胞之间显著的基因表达差异。
然而,如果科学家们计划开展单细胞RNA测序的话,首先要做好被价格冲击的准备。近期,国外科学家完成了脑部130万个单细胞的RNA测序,即使按照0.00001美元/read的费用计算,仍需要约50万美元。当研究计划分摊到每个细胞的每个RNA分子时,费用成本会随着实验规模的扩大而迅速增加。
目前单细胞RNA测序的若干难点和痛点:
单次实验成本高:高昂的单细胞捕获建库费用,加上海量单细胞转录组测序费用,使得很多科研人员对单细胞实验望而却步。
单次实验通量低:单细胞上机实验只能以低通量模式,分批次分离捕获多个临床样本,极大阻碍了科研项目的实验数据积累进度。
批次差异影响实验结果:不同样品分批次上机捕获、建库和测序带来显著的批次效应,极大的影响了实验结果的一致性和可信度。
单细胞捕获实时监控难:常规需要完成捕获建库测序的全部流程,最终通过生信分析才能得知真实捕获的细胞数目是否符合预期。
研究效率低:由于单细胞实验需要保持较高的细胞活力以获得高质量的单细胞转录组测序结果,如果没有仪器平台而选择科研服务合作商提供服务,需要携带单细胞分选系统上门服务,这种方式效率低且还额外增加了差旅费用的成本。
中科普瑞海胆捕获技术:
多样本标记解决方案
测序中国获悉,为了解决单细胞RNA测序中的难点和痛点,中科普瑞结合BD用于单细胞靶向转录组测序的多样本标记试剂盒,开展了一系列预实验。通过各项研究和验证,中科普瑞独立开发出了适用于单细胞转录组测序的多样本标记技术——海胆捕获技术,包含了兼容多样本标记和单细胞转录组测序的完整建库流程,以及适配优化的样本标签识别流程算法。在单细胞转录组测序的实验过程中,该技术可实现高效的单细胞样品标记和生信算法识别。海胆捕获技术的优势可以有效解决单细胞测序研究中的多个难点,在保证单个基因测序数据质量的前提下,极大降低单个样本的测序成本。
中科普瑞海胆捕获技术(多样本标记解决方案)优势:
实时监控,平行检测:BD Rhapsody™ 平台可通过实时样品,监测监控实验质量;通过海胆捕获技术可以平行化检测来自于不同样本的数万细胞的转录组表达情况,精确度和维度都具有极大优势,使得更大规模临床数据采集更为可行。
降低成本,提高效率:海胆捕获技术可以在一次实验同时完成多个样品的单细胞转录组测序,使单细胞测序成本进一步下降,使科学家可以用一定的科研经费完成更多的样本数目;同时提高了单次实验的样本通量,有助于加快科研项目的实验数据积累进度,提高科研效率。
精准可靠、规避批次差异:海胆捕获技术可以保证多个样本来源的细胞,同步经历单细胞转录组捕获,反转建库,测序分析的完整流程。有效避免了由于不同批次上机和测序带来的批次效应对于最终实验分析结果的干扰,进一步保证了单细胞转录组测序实验结果的准确性。

图1. BD(中国)-中科普瑞单细胞研究联合实验室
此外,为了进一步提高单细胞RNA测序服务的研究效率,降低服务成本,中科普瑞旗下上海鲸舟基因科技有限公司自主开发了Solo™组织酶解试剂盒和Sinotech™组织样本冻存试剂盒,用于单细胞悬液的制备和样本运输。
Solo™组织酶解试剂盒
Solo™组织酶解试剂盒主要应用于少量的新鲜或妥善冻存的组织样本(人源临床肿瘤样本或移植物,小鼠组织器官样本等),可温和高效地获得高质量的(高细胞活力、足量细胞数目、较少细胞黏连和聚集)单细胞悬液。该试剂盒采用了优化配比的复合消化酶配方,含有多种胶原酶及蛋白酶活性成分,既可快速有效地消化细胞外基质从而释放单个细胞,也尽可能保证了消化过后细胞膜表面蛋白的完整。为后续的下游实验(单细胞mRNA转录组测序;基于抗体标记的多样本标记;基于抗体标记的流式分析或分选;基于抗体标记的磁珠分选)的顺利进行提供实验保障。

图2. Solo™组织酶解试剂盒
由于肿瘤组织以及正常组织样本的细胞异质性,应用Solo™组织酶解试剂盒进行组织样本的酶解消化,通常可获得包括肿瘤细胞、基质细胞以及浸润的淋巴细胞等在内的多种细胞类型。该试剂盒适用于人或小鼠的多种组织器官样本的消化酶解,例如肝癌组织、肺癌组织、乳腺癌组织、卵巢癌组织以及脑胶质瘤组织等。
Sinotech™组织样本冻存试剂盒
Sinotech™组织样本冻存试剂盒主要应用于对新鲜组织样本(人源临床肿瘤样本或移植物,小鼠组织器官样本等)进行迅速妥善地冻存,尽可能维持组织样本原有的组织结构和生物活性。为整合不同批次获得样本的集中实验以及样本远距离运输提供时间、空间上的便利,Sinotech™组织样本冻存试剂盒采用了优化配比的冻存保护液配方,含有以DMSO等多种对生物组织样本有特殊保护功能的冻存保护剂成分,既可快速均匀地渗透进入组织样本,保持组织样本中细胞结构以及核酸、蛋白质等亚细胞组分的稳定不变,也尽可能地减少组织样本在降温过程中受到不规则冰晶带来的损伤。为后续的下游实验(组织酶解消化为单细胞悬液、组织提取总RNA、组织提取总蛋白等)的顺利进行提供实验保障。

图3. Sinotech™组织样本冻存试剂盒
根据实验经验,经妥善地冻存复苏后的组织样本,进行酶解消化获得的单细胞悬液,其细胞活力与细胞数目等参数均与用新鲜组织样本获得的单细胞悬液相近。该试剂盒可广泛适用于人或小鼠的多种组织器官样本的冻存保护,例如肝癌组织、肺癌组织、乳腺癌组织、卵巢癌组织以及脑胶质瘤组织等。

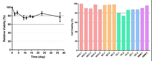
图4. Solo™ 组织酶解试剂盒和Sinotech™组织样本冻存试剂盒效果测评展示。左图:PBMCs细胞悬液冻存活力曲线;右图:多癌种组织样品冻存酶解活力统计,HCC:Hepatocellular Carcinoma,BC:Breast Cancer,TC:Thyroid Cancer,OC:Ovarian Cancer,GBM:Glioblastoma multiforme。
图4为Solo™ 组织酶解试剂盒和Sinotech™组织样本冻存试剂盒的应用效果测评结果。新鲜提取的人外周血单个核细胞(PBMCs),经Sinotech™冻存试剂盒保存于液氮中。细胞复苏后,以BD Rhapsody™平台利用荧光染料Calcein AM及Draq7进行细胞活力测定,细胞活性可在液氮中保持稳定4~5周(如左图所示)。利用Sinotech™冻存试剂盒保存运输多组织来源的肿瘤组织样本,以Solo™组织酶解试剂盒消化酶解得到的单细胞悬液,以BD Rhapsody™平台利用荧光染料Calcein AM及Draq7进行细胞活力测定,细胞活性可达80%以上(如右图所示)。
2020-02
2020年2月4日,中共中央政治局常委、国务院总理、中央应对新型冠状病毒感染肺炎疫情工作领导小组组长李克强主持召开领导小组会议。会议指出,要提高检测确诊能力,缩短检测时间,从全国疾控系统调派检测力量支援武汉,允许符合条件的第三方检测机构开展核酸检测。2月5日,中科普瑞积极响应参与… [了解更多]
2020-01
2020年1月8日,BD全球单细胞多组学平台负责人Brian Lilhanand、BD全球单细胞多组学平台市场总监Ranga Partha、BD全球单细胞多组学平台研发总监Stefanie Mortimer、BD大中华区生物科学业务副总裁胡轶清女士、BD大中华区基因组业务部高级经… [了解更多]
专注组学 精准定位 用心服务 帮您实现科研价值
——